井澤です![]()
■問題1
鉄骨構造において、梁に使用する材料をSN400BからSN490Bに変更したので、幅厚比の制限値を大きくした。(一級構造:平成26年No.17)
■問題2
H形断面梁の変形能力の確保において、梁の長さ、断面の形状・寸法が同じであれば、等間隔に設置する横補剛の必要箇所数は、梁材が「SN490材の場合」より「SS400材の場合」のほうが少ない。(一級構造:平成22年No.15)
――――――――――――――――――――――
■解答
問題1 誤。強度を大きくすると、幅厚比の制限値は小さくしなければならない。つまり、フランジやウェブを分厚くしなければならない。
問題2 正。
――――――――――――――――――――――
No.358(「強度」と「たわみ・断面寸法」)では、鉄骨の梁について次のことを学習しました。
―――ポイント:強度とたわみ・断面寸法―――
強度を大きくすると
■たわみは小さくできない。
■断面寸法(梁せい)は小さくできる。
――――――――――――――――――――――
http://kentikushi-blog.tac-school.co.jp/archives/48247872.html
今回は、前者の「強度を大きくしても、たわみは小さくできない」という内容と大いに関連する内容です。
はじめに幅厚比と横補剛材の用語を確認しましょう。
■幅厚比
幅厚比とは、フランジ、ウェブなどの個々の板要素の「幅/厚」です。
幅厚比(幅/厚)が大きいほど、薄っぺらくなります。
幅厚比(幅/厚)が小さいほど、分厚くなります。
■横補剛材
横補剛材とは、横座屈を防ぐために横から支える部材で、大梁に対する小梁がその役割を担います。
次にポイントを確認しましょう。
――ポイント:強度と幅厚比・横補剛材の数――
強度を大きくすると
・幅厚比を小さくしなければならない。
・横補剛材の数を多くしなければならない。
――――――――――――――――――――――
■分かりやすく言うと次のようになります。
SN400B材の代わりにSN490B材を用いるなど、
・強度の大きい材料を用いた梁のほうが、フランジやウェブを分厚くしなければならない。
・強度の大きい材料を用いた梁のほうが、小梁の数を多くしなければならない。
おそらく直感とは逆なのではないかと思います。
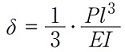
これは「鋼材は強度を大きくしてもヤング係数Eは変わらない」という性質に因ります。
みんなが間違えやすいところですし、だからこそ頻繁に出題されるのです。
――――――――――――――――――――――
■理由は次のとおりです。
・強度の大きい部材は、大きい力を負担するように設計します。
・鋼材は強度を大きくしてもヤング係数Eは変わらないので、大きい力を負担すると、大きい変形が生じます。ここがポイントです!
・変形には局部座屈や横座屈などがあります。
・強度の大きい部材が大きい力を負担すると局部座屈が生じやすくなるので、幅厚比を小さくしなければなりません。(フランジやウェブを分厚くしなければなりません。)
・強度の大きい部材が大きい力を負担すると横座屈が生じやすくなるので、横補剛材の数を多くしなければなりません。(小梁の数を多くしなければなりません。)
――――――――――――――――――――――
最後に、今回のポイントをNo.358と一緒にしてまとめると、次のようになります。
――――――ポイント:鉄骨造の梁――――――
強度を大きくすると
■たわみは小さくできない。
■断面寸法(梁せい)は小さくできる。
■幅厚比を小さくしなければならない。
■横補剛材の数を多くしなければならない。
――――――――――――――――――――――
※幅厚比についてはNo.352(降伏比・幅厚比・細長比)も参考にしてください。
http://kentikushi-blog.tac-school.co.jp/archives/48056449.html

